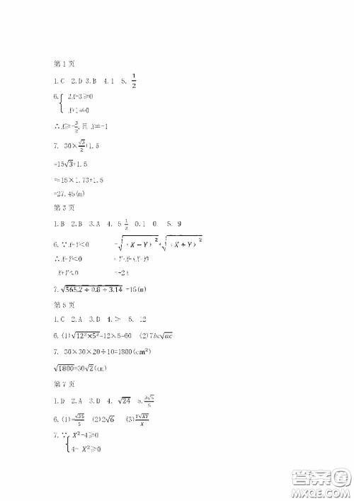
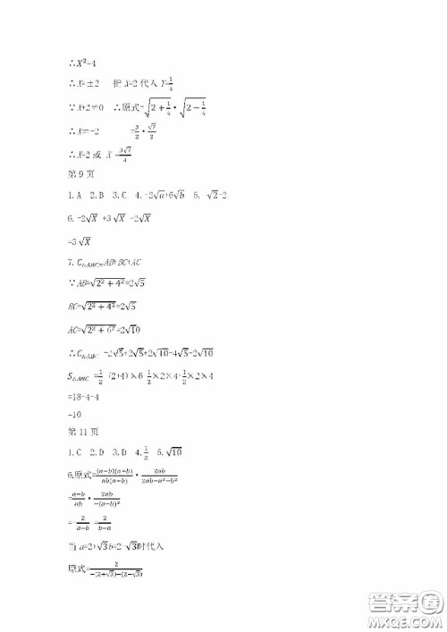
2020暑假Happy假日八年级数学人教版的答案小编已经收集整理好了,做完了之后可以来检查一下,看看自己做的对不对,不要直接照抄答案哦,其他学科的和其他年级的直接站内搜书名吧!

八年级数学人教版答案如下,仅供参考!




















黑龙江少年儿童出版社2020暑假Happy假日八年级英语人教版答案
2020-07-24 15:57:36
2020暑假Happy假日八年级英语人教版的答案小编已经收集整理好了,做完了之后可以来检查一下,看看自己做的对不对,不要直接照抄答案哦,其他学科的和其他年级的直接站内搜书名吧!黑
2019年Happy假日七年级语文人教版答案
2019-07-29 14:55:38
小编这次收集整理的是Happy假日系列七年级的语文人教版的答案,使用这个版本的可以来答案圈了解一下,看看自己做的对不对,当然其他学科的和其他年级的也有收集整理,快来答案圈看
2019年Happy假日七年级数学人教版答案
2019-07-29 14:40:42
小编这次收集整理的是Happy假日七年级数学人教版的答案,使用这个版本的可以来答案圈了解一下,看看自己的答案是否正确,当然其他学科的也有收集整理,可以来看看哦!2019年Happy假日
2019年Happy假日九年级语文人教版答案
2019-07-29 14:25:05
小编这次收集整理的是Happy假日的九年级语文人教的答案,使用这个版本的可以来答案圈看看自己的答案是否正确!2019年Happy假日九年级语文人教版答案以下便是答案内容!
黑龙江少年儿童出版社答案