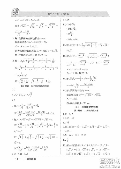
小编这次收集整理的是2020金太阳教育导学测评八年级数学下册创新版的答案,使用这本教辅的可以来检查一下,看看自己做的对不对吧,不要直接照抄答案哦!

八年级数学下册创新版答案如下,仅供参考!
































江西高校出版社2020金太阳教育导学测评九年级语文全一册创新版答案
2020-05-07 11:44:21
小编这次收集整理的是2020金太阳教育导学测评九年级语文全一册创新版的答案,使用这本教辅的可以来检查一下,看看自己做的对不对吧,不要直接照抄答案哦!江西高校出版社2020金太阳
江西高校出版社2020金太阳教育导学测评九年级历史全一册创新版答案
2020-05-07 11:30:29
小编这次收集整理的是江西高校出版社出版的2020金太阳教育导学测评九年级历史全一册创新版的答案,使用这本教辅的可以来检查一下,看看自己做的对不对吧!江西高校出版社2020金太
江西高校出版社2020金太阳教育导学测评九年级道德与法治全一册创新版答案
2020-05-07 11:18:44
小编这次收集整理的是2020金太阳教育导学测评九年级道德与法治全一册创新版的答案,使用这本教辅的可以来检查一下,看看自己做的对不对吧,不要直接照抄答案哦!江西高校出版社2020
江西高校出版社2020金太阳教育导学测评九年级数学全一册创新版答案
2020-05-07 10:56:07
小编这次收集整理的是金太阳教育导学测评九年级数学全一册创新版的答案,这个系列的小编整理了很多,直接做完了来检查就可以了,如果想找其他学科的可以直接站内搜书名!江西高校出