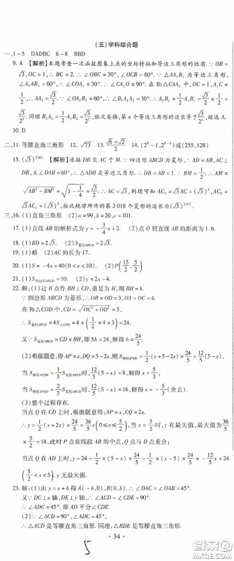
小编这次收集整理的是2020期末复习大冲刺八年级数学下册的答案,使用这个系列的测试卷的可以做完了之后来检查一下,看看自己做的对不对吧,不要直接照抄答案哦!

答案如下,仅供参考!























全程测评试卷2020期末复习大冲刺八年级英语下册答案
2020-04-22 14:12:02
小编这次收集整理的是全程测评试卷2020期末复习大冲刺八年级英语下册的答案,使用这份测试卷的可以做完了之后来检查一下,看看自己做的对不对,不要直接照抄哦!其他学科的和其他年
全程测评试卷2020期末复习大冲刺数学七年级下册答案
2020-04-22 14:08:23
小编这次收集整理的是期末复习大冲刺数学七年级下册的答案,使用这本教辅的可以来检查一下,看看自己做的对不对,不要直接照抄哦!全程测评试卷2020期末复习大冲刺数学七年级下册答
全程测评试卷2020期末复习大冲刺英语七年级下册答案
2020-04-22 13:52:39
小编这次收集整理的是2020期末复习大冲刺英语七年级下册的答案,使用这本教辅的可以来检查一下,看看自己做的对不对吧,不要直接照抄答案,其他学科的和其他年级的也有整理,直接站内
全程测评试卷2020期末复习大冲刺语文七年级下册答案
2020-04-22 13:48:22
小编这次收集整理的是2020期末复习大冲刺语文七年级下册的答案,使用这本教辅的可以来检查一下,看看自己做的对不对,不要直接照抄答案哦!全程测评试卷2020期末复习大冲刺语文七年