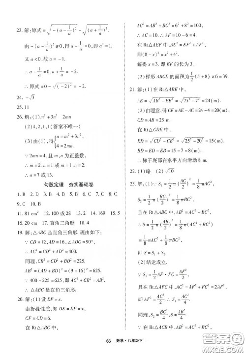
小编这次收集整理的是2020全优标准卷系列的八年级数学下册的答案,使用这本教辅的可以直接做完了题目之后来检查一下,看看自己做对了没有,其他学科的和其他年级的直接站内搜书名吧!

八年级数学下册答案如下,仅供参考!












湖北教育出版社2020全优标准卷七年级数学下册答案
2020-04-13 14:44:48
小编这次收集整理的是全优标准卷系列的七年级数学下册的答案,做完这本练习册的题目之后可以来检查一下,看看自己做的对不对,不要直接照抄答案哦!湖北教育出版社2020全优标准卷七
湖北教育出版社2020全优标准卷七年级语文下册答案
2020-04-13 14:36:14
小编这次收集整理的是全优标准卷七年级语文下册的答案,使用这本教辅的可以来检查一下,看看自己做的对不对,不要直接照抄答案哦!湖北教育出版社2020全优标准卷七年级语文下册答案
湖北教育出版社2020全优标准卷七年级英语下册答案
2020-04-13 14:27:19
小编这次收集整理的是全优标准卷系列的七年级英语下册的答案,使用这本教辅的可以来检查一下,看看自己做的对不对,不要直接照抄答案哦,当然其他学科的和其他年级的直接站内搜书名
浙江教育出版社2020阳光同学全优达标好卷六年级英语下册人教版浙江专版答案
2020-04-12 11:39:47
小编这次收集整理的是阳光同学全优达标好卷六年级英语下册人教版浙江专版的答案,使用这本教辅的可以来看看,检查一下自己做的对不对吧,其他学科的可以直接站内搜书名哦!浙江教育