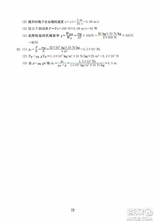
小编这次收集整理的是初中基础训练八年级物理下册54学制的答案,使用这本教辅的可以来检查一下,看看自己做的对不对,不要直接照抄哦!

八年级物理下册54学制的答案如下,仅供参考哦!















山东教育出版社2020初中基础训练八年级英语下册54学制答案
2020-04-08 09:12:34
小编这次收集整理的是初中基础训练八年级英语下册54学制的答案,使用这本教辅的可以来检查一下,看看自己做的对不对,不要直接照抄答案哦!山东教育出版社2020初中基础训练八年级英
山东教育出版社2020初中基础训练八年级数学下册54学制答案
2020-04-08 08:45:15
小编这次收集整理的是初中基础训练八年级数学下册54学制的答案,使用这本教辅的可以来看看,检查一下自己做的对不对,不要直接照抄哦!其他学科的和其他年级的直接站内搜书名就行了
山东教育出版社2020初中基础训练八年级道德与法治下册54学制答案
2020-04-08 08:26:00
小编这次收集整理的是初中基础训练八年级道德与法治下册54学制的答案,使用这本教辅的可以来检查一下,看看自己做的对不对,不要直接照抄答案哦!山东教育出版社2020初中基础训练八
山东教育出版社2020初中基础训练八年级化学下册54学制版答案
2020-04-07 18:00:11
小编这次收集整理的是山东教育出版社出版的八年级化学下册54学制的初中基础训练的练习册答案,这个系列的山东很多学校都在使用,做这本练习册的可以来看看,检查核对一下自己题目