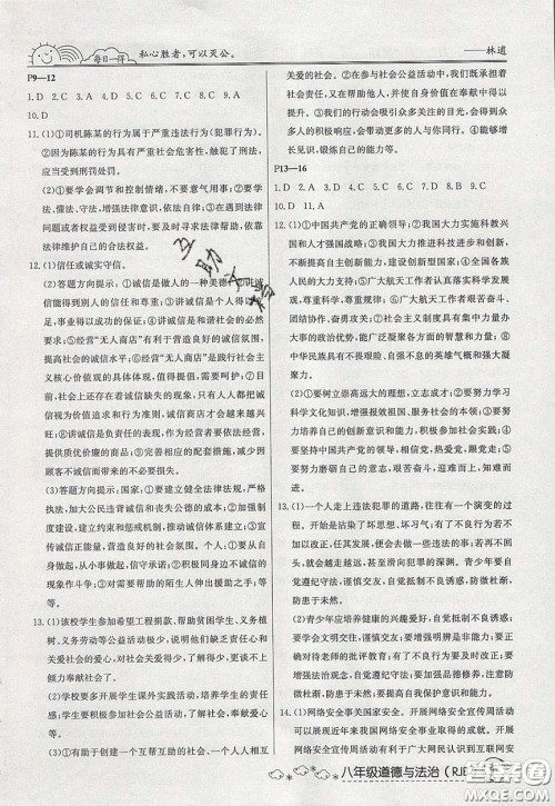
延边教育出版社2020年快乐假期寒假作业八年级道德与法治人教版参考答案小编已经收集整理好了,感兴趣的伙伴可以来看看哦

本书系列的其他年级和科目的答案小编也有整理,需要核对参考的伙伴直接在答案圈对应的年级搜索即可查看





延边教育出版社2020年快乐假期寒假作业八年级生物人教版参考答案
2020-02-05 21:40:33
延边教育出版社2020年快乐假期寒假作业八年级生物人教版参考答案小编已经收集整理好了,感兴趣的伙伴可以来看看哦延边教育出版社2020年快乐假期寒假作业八年级生物人教版参考
延边教育出版社2020年快乐假期寒假作业八年级英语人教版参考答案
2020-02-05 21:40:26
延边教育出版社2020年快乐假期寒假作业八年级英语人教版参考答案小编已经收集整理好了,感兴趣的伙伴可以来看看哦延边教育出版社2020年快乐假期寒假作业八年级英语人教版参考
延边教育出版社2020年快乐假期寒假作业八年级地理人教版参考答案
2020-02-05 21:40:21
延边教育出版社2020年快乐假期寒假作业八年级地理人教版参考答案小编已经收集整理好了,感兴趣的伙伴可以来看看哦延边教育出版社2020年快乐假期寒假作业八年级地理人教版参考
延边教育出版社2020年快乐假期寒假作业一年级数学江苏版参考答案
2020-02-04 21:41:01
延边教育出版社2020年快乐假期寒假作业一年级数学江苏版参考答案小编已经收集整理好了,感兴趣的伙伴可以来看看哦延边教育出版社2020年快乐假期寒假作业一年级数学江苏版参考
八年级寒假作业答案