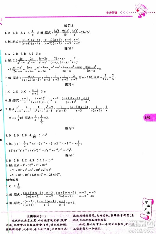
2019年新课程新练习数学八年级上册人教版参考答案小编已经收集整理好了,练习完就来核对一下吧!

本书系列的其他年级和科目的答案小编也有整理,需要的伙伴直接在答案圈对应的年级搜索即可查看
























2019年新课程新练习地理七年级上册人教版参考答案
2019-10-31 08:19:31
2019年新课程新练习地理七年级上册人教版参考答案小编已经收集整理好了,练习完就来核对一下吧!2019年新课程新练习地理七年级上册人教版参考答案本书系列的其他年级和科目的答
2019年新课程新练习生物七年级上册人教版参考答案
2019-10-31 08:13:52
2019年新课程新练习生物七年级上册人教版参考答案小编已经收集整理好了,练习完就来核对一下吧!2019年新课程新练习生物七年级上册人教版参考答案本书系列的其他年级和科目的答
2019年新课程新练习数学七年级上册人教版参考答案
2019-10-31 08:10:31
2019年新课程新练习数学七年级上册人教版参考答案小编已经收集整理好了,练习完就来核对一下吧!2019年新课程新练习数学七年级上册人教版参考答案本书系列的其他年级和科目的答
2019年新课程新练习英语七年级上册人教版参考答案
2019-10-31 08:02:17
2019年新课程新练习英语七年级上册人教版参考答案小编已经收集整理好了,练习完就来核对一下吧!2019年新课程新练习英语七年级上册人教版参考答案本书系列的其他年级和科目的答
2019新课程新练习系列答案