小编这次是收集整理的是江西教育出版社2019数学作业本八年级上册北师大版的答案,使用这套教辅的可以在做完之后来看看哦!

答案如下,仅供参考!


























































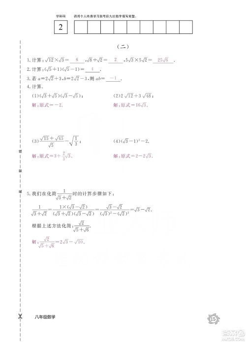
江西教育出版社2020年数学作业本八年级上册人教版参考答案
2020-09-09 16:51:01
江西教育出版社2020年数学作业本八年级上册人教版参考答案更新啦,使用这一系列的同学不妨来看看参考参考,各个年级学科的答案小编都有整理,会陆续分享给大家,答案如下,仅供参考。
浙江教育出版社2020年数学作业本六年级上册人教版参考答案
2020-09-09 16:05:52
浙江教育出版社2020年数学作业本六年级上册人教版参考答案更新啦,使用数学作业本系列的同学不妨来看看吧,各个年级学科的答案小编都有更新,答案如下,仅供参考。浙江教育出版社20
江西教育出版社2020年数学作业本七年级上册人教版参考答案
2020-09-09 15:39:46
江西教育出版社2020年数学作业本七年级上册人教版参考答案已经和同学们分享,更新到的是数学学科的答案,七年级的同学们做完作业可以来对对答案,答案如下,仅供参考。江西教育出版
江西教育出版社2020年数学作业本九年级全一册参考答案
2020-09-09 11:43:52
江西教育出版社2020年数学作业本九年级全一册参考答案更新啦,使用数学作业本系列的同学不妨来对对答案,有做错的题目及时修改,部分题目答案不唯一,仅供参考。江西教育出版社2020
江西教育出版社系列答案