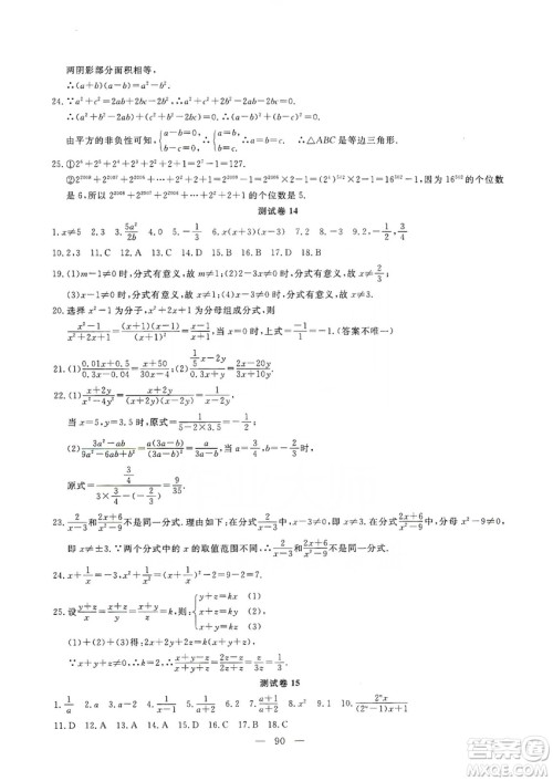
小编这次收集整理的是湖北教育出版社2019黄冈测试卷8年级数学上册的答案,使用这套测试卷的可以在做完之后来答案圈看看哦

答案如下,仅供参考,这套是湖北教育出版社出版的!
















湖北教育出版社2019黄冈测试卷八年级英语上册答案
2019-10-08 14:51:32
小编这次收集整理的是湖北教育出版社2019黄冈测试卷八年级英语上册的答案,做完了之后可以来答案圈看看哦!湖北教育出版社2019黄冈测试卷八年级英语上册答案答案如下,仅供参考,不
湖北教育出版社2019黄冈测试卷八年级历史上册答案
2019-10-08 14:27:19
小编这次收集整理的是湖北教育出版社2019黄冈测试卷八年级历史上册的答案,做完了之后可以来答案圈了解一下,看看自己做的对不对!湖北教育出版社2019黄冈测试卷八年级历史上册答
湖北教育出版社2019黄冈测试卷八年级语文上册答案
2019-10-08 14:05:34
小编这次收集整理的是2019黄冈测试卷八年级语文上册的答案,使用这套教辅的可以在做完了测试卷之后来核对一下答案哦!湖北教育出版社2019黄冈测试卷八年级语文上册答案主编黄建
湖北教育出版社2019黄冈测试卷八年级地理上册答案
2019-10-08 13:57:28
湖北教育出版社出版的2019年的黄冈测试卷系列小编这次收集整理的是八年级地理上册的答案,使用这个版本的可以来答案圈了解一下,看看自己做对了没有!湖北教育出版社2019黄冈测试
2019年上学期黄冈测试卷答案