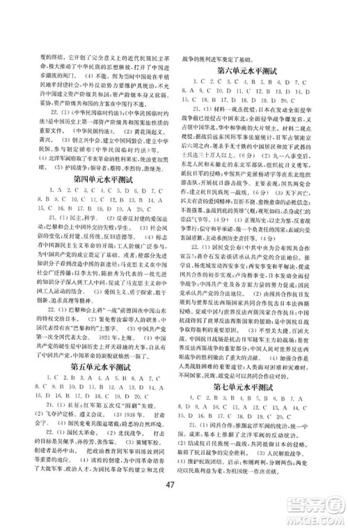
山东教育出版社出版2019年初中基础训练八年级中国历史上册人教版的答案小编已经收集整理好了,在做完之后可以来答案圈了解一下!

以下便是小编收集整理的全部的答案内容了!








山东教育出版社2019初中基础训练九年级世界历史上册人教版答案
2019-09-23 10:59:24
小编收集整理的是2019初中基础训练九年级世界历史上册人教版的答案,在做完之后可以来答案圈了解一下,看看自己做对了没有!山东教育出版社2019初中基础训练九年级世界历史上册人
山东教育出版社2019初中基础训练八年级数学上册北师大版答案
2019-09-23 10:42:03
小编这次收集整理的是山东教育出版社2019初中基础训练八年级数学上册北师大版的答案,在做完之后可以来答案圈了解一下,看看自己做的对不对!山东教育出版社2019初中基础训练八年
山东教育出版社2019初中基础训练八年级数学上册人教版答案
2019-09-23 10:28:56
小编收集整理的是山东教育出版社2019初中基础训练八年级数学上册人教版的答案,在做完之后可以来答案圈了解一下,快来看看吧!山东教育出版社2019初中基础训练八年级数学上册人教
山东教育出版社2019初中基础训练七年级道德与法治上册人教版答案
2019-09-22 09:48:30
小编这次收集整理的是山东教育出版社2019初中基础训练七年级道德与法治上册人教版的答案,做完了之后可以来答案圈了解一下,看看自己做对了没有!山东教育出版社2019初中基础训练