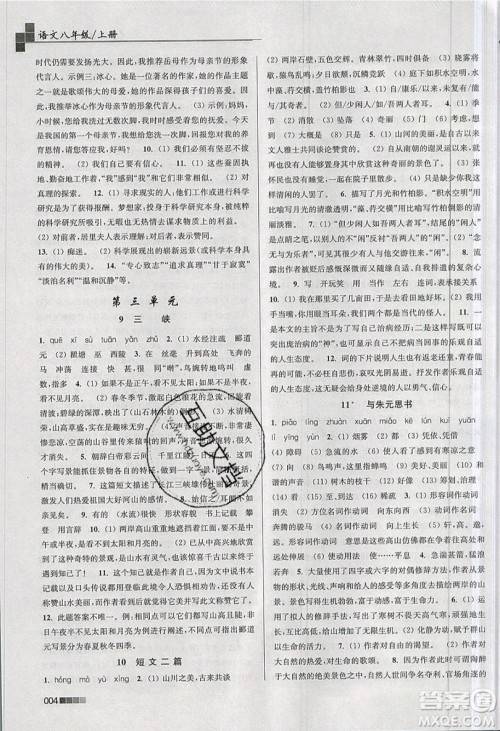
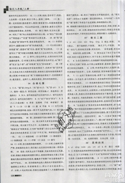
东南大学出版社2019新版金3练语文八年级上册全国版参考答案整理如下,金3练系列是很多同学都很熟悉的教辅大品牌,希望下面的整理对大家有帮助。

ISBN编号:9787564158460,新课标全国版答案如下,仅供参考。














2019倍速学习法自主预习卡4年级语文上册人教版答案
2019-09-04 14:09:23
小编收集整理的是倍速学习法的自主预习卡四年级上册语文人教版的答案,使用这个版本的可以来答案圈了解一下哦!2019倍速学习法自主预习卡4年级语文上册人教版答案答案如下,仅供
东南大学出版社2019新版金3练练习卷英语八年级上册8A江苏版参考答案
2019-09-04 11:48:02
东南大学出版社2019新版金3练练习卷英语八年级上册8A江苏版参考答案小编整理在下面了,江苏苏教版,使用此教材的朋友继续往下看吧!东南大学出版社2019新版金3练练习卷英语八年级
东南大学出版社2019新版金3练语文七年级上册全国版参考答案
2019-09-04 11:22:58
东南大学出版社2019新版金3练语文七年级上册全国版参考答案已经发布,这套教辅的关注度还是很高的,需要的朋友快来查看一下吧!东南大学出版社2019新版金3练语文七年级上册全国版
东南大学出版社2019新版金3练练习卷英语七年级上册7A江苏版参考答案
2019-09-04 11:17:35
东南大学出版社2019新版金3练练习卷英语七年级上册7A江苏版参考答案已经整理完成发布在朋友圈了,做完的朋友可以对照参考。东南大学出版社2019新版金3练练习卷英语七年级上册