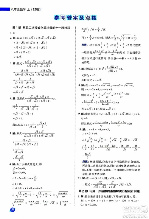
荣德基2019秋典中点极速提分法八年级上数学BS北师版参考答案小编已经收集整理好了,需要的朋友来答案圈查看!

出版社名称:陕西人民教育出版社

















荣德基2019秋典中点极速提分法八年级上物理R版人教版参考答案
2019-09-02 11:43:18
荣德基2019秋典中点极速提分法八年级上物理R版人教版参考答案小编已经整理在答案圈了,快来看看吧!荣德基2019秋典中点极速提分法八年级上物理R版人教版参考答案出版社名称:陕西
荣德基2019秋典中点极速提分法七年级上数学BS北师版参考答案
2019-09-02 08:26:24
荣德基2019秋典中点极速提分法七年级上数学BS北师版参考答案小编已经收集整理好了,需要核对参考的伙伴来答案圈看看吧荣德基2019秋典中点极速提分法七年级上数学BS北师版参考
2019上学期典中点系列答案