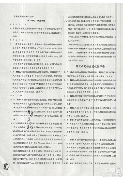
春雨教育2019秋实验班提优训练八年级道德与法治上册RMJY人教版参考答案小编已经整理好发布在答案圈啦,其他年级和其他版本的也可以在答案圈搜索到。

ISBN编号:9787214212764,江苏人民出版社出版,总主编:严军,2019年7月重印。源于教材,宽于教材,高于教材。
























江苏人民出版社春雨教育2019秋实验班提优训练八年级历史上册RMJY人教版参考答案
2019-08-29 16:09:09
江苏人民出版社春雨教育2019秋实验班提优训练八年级历史上册RMJY人教版参考答案小编已经整理好发布在答案圈啦,其他年级和其他版本的也可以在答案圈搜索到。江苏人民出版社春
春雨教育2019秋实验班提优训练八年级物理上册RMJY天津专版参考答案
2019-08-29 15:58:16
春雨教育2019秋实验班提优训练八年级物理上册RMJY天津专版参考答案小编已经整理好发布在答案圈啦,其他年级和其他版本的也可以在答案圈搜索到。春雨教育2019秋实验班提优训练
江苏人民出版社春雨教育2019秋实验班提优训练八年级物理上册RMJY人教版参考答案
2019-08-29 15:50:40
江苏人民出版社春雨教育2019秋实验班提优训练八年级物理上册RMJY人教版参考答案小编已经整理好发布在答案圈啦,其他年级和其他版本的也可以在答案圈搜索到。江苏人民出版社春
江苏人民出版社春雨教育2019秋实验班提优训练八年级物理上册BSD北师大版参考答案
2019-08-29 15:40:56
江苏人民出版社春雨教育2019秋实验班提优训练八年级物理上册BSD北师大版参考答案小编已经整理好发布在答案圈啦,其他年级和其他版本的也可以在答案圈搜索到。江苏人民出版社
2019初中实验班提优训练答案