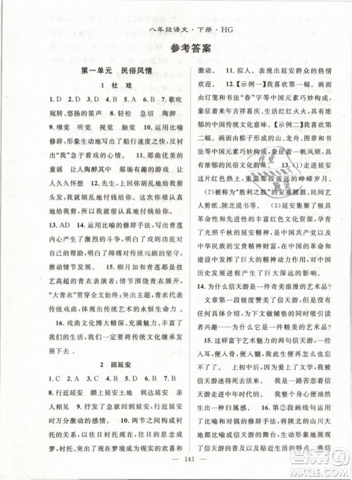
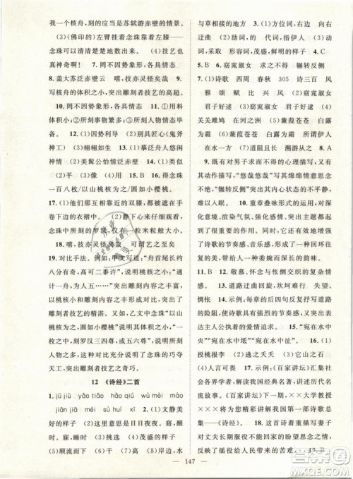
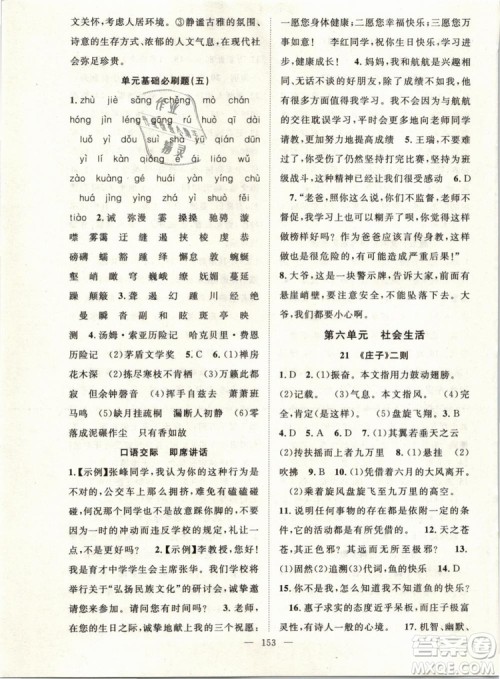
万羽文化2019年名师学案八年级下册语文人教版湖北专版参考答案小编已经收集整理好了,大家练习后可以来答案圈核对一下,做好每天课后的巩固学习

ISBN编号: 9787535372383书名: 名师学案八下语出版社名称: 长江少年儿童出版社。其他科目的答案小编也有收集整理大家可以直接在答案圈搜索即可
























万羽文化2019年名师学案八年级下册数学人教版湖北专版参考答案
2019-06-19 07:59:24
万羽文化2019年名师学案八年级下册数学人教版湖北专版参考答案小编已经收集整理好了,大家练习后可以来答案圈核对一下,做好每天课后的巩固学习万羽文化2019年名师学案八年级下
2019年万羽文化名师学案八年级下册英语人教版湖北专版参考答案
2019-06-19 07:59:09
2019年万羽文化名师学案八年级下册英语人教版湖北专版参考答案小编已经收集整理好了,大家练习后可以来答案圈核对一下,做好每天课后的巩固学习2019年万羽文化名师学案八年级下
万羽文化2019年名师学案八年级下册物理人教版参考答案
2019-06-19 07:52:25
万羽文化2019年名师学案八年级下册物理人教版参考答案小编已经收集整理好了,需要核对参考的伙伴注意查看哦万羽文化2019年名师学案八年级下册物理人教版参考答案ISBN编号: 97
万羽文化2019年名师学案七年级下册地理人教版参考答案
2019-06-18 15:59:27
这次小编收集整理的是万羽文化2019年名师学案七年级下册地理人教版参考答案,大家练习后可以来答案圈核对一下,做好每天课后的巩固学习万羽文化2019年名师学案七年级下册地理人