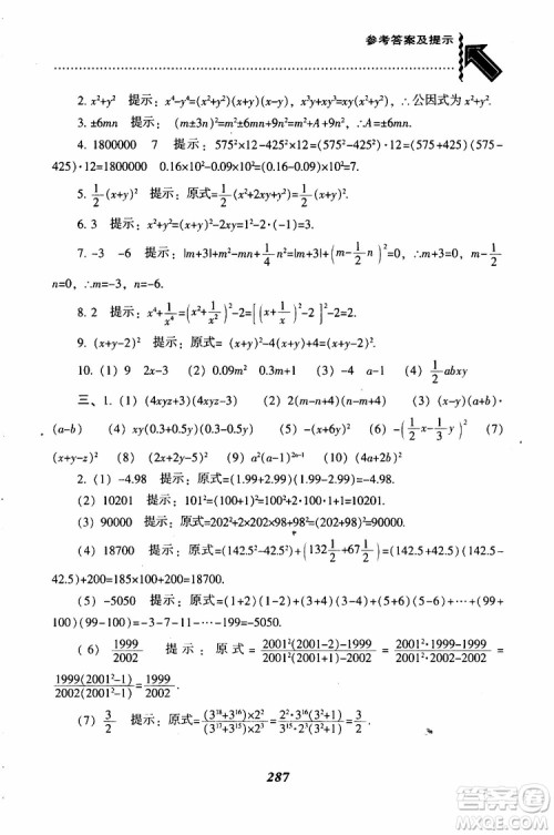
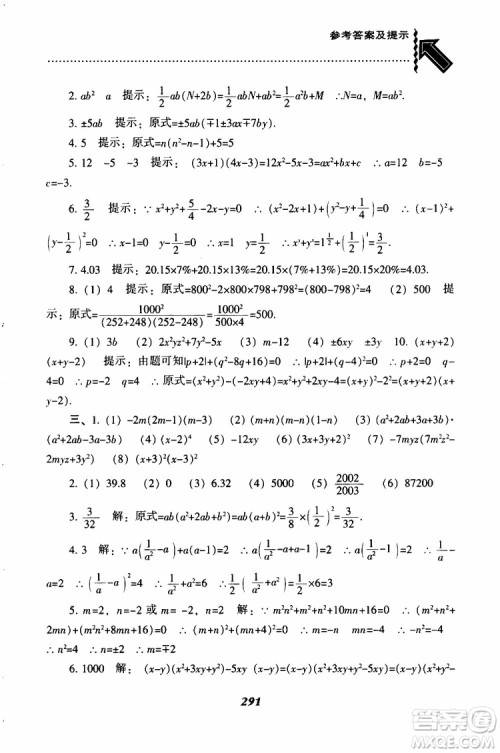
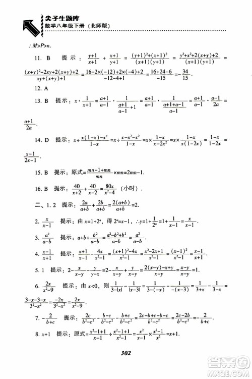
小编这次收集整理的是2019版尖子生题库八年级下册数学北师大版BS版参考答案,感兴趣的伙伴注意查看哦

ISBN编号: 9787538271546书名: 尖子生题库最新升级数学八年级下册北师版,出版社名称: 云南科技出版社

























































































一、从教学上,任课教师既然知道了一半同学基础差,那么教师在教学过程中就要考虑到分层次教学,因为中考基础知识占比达到百分之七十左右。我们一道数学题可以从基础知识讲起,逐步的培养孩子们学习的兴趣点。当然,你可能说,那好的孩子不就吃亏了吗?别忘了,只有基础知识掌握的好,才能得到高分,因为中考是面向全体,而不是个别生。所以,要想提高成绩,还要从基础抓起,有些基础要求基础差的同学做,而难题不让他们做。要因地制宜,因人而异。
二、从教育上,我们都知道,良好的课堂秩序和习惯是学习的保证。对于行为习惯不好的班级,教师要加强课堂管理。如果是科任教师,那就要和班主任配合,要把班级的实际情况及时的反应给班主任,班主任支持了事情就好办了。如果你是班主任,还不能驾驭课堂,行为习惯还是改变不了,那班主任工作一定会很痛苦。一种方法不行,我们就换一种。课堂不治理,习惯不改变,成绩难提高。所以,要在管理上下功夫,才能提高成绩。
部编人教版2019版尖子生题库七年级下册语文R版参考答案
2019-03-22 14:20:06
小编这次收集整理的是部编人教版2019版尖子生题库七年级下册语文R版参考答案,感兴趣的伙伴注意查看哦部编人教版2019版尖子生题库七年级下册语文R版参考答案ISBN编号: 978753
BS版北师版2019版尖子生题库七年级下册数学参考答案
2019-03-22 14:08:51
小编这次收集整理的是BS版北师版2019版尖子生题库七年级下册数学参考答案,感兴趣的伙伴注意查看哦BS版北师版2019版尖子生题库七年级下册数学参考答案ISBN编号: 978753827151
灵星教育2019年八年级下册数学百分百训练江苏版参考答案
2019-03-17 10:01:21
灵星教育2019年八年级下册数学百分百训练江苏版参考答案小编已经收集整理好了,需要参考的伙伴练习完来答案圈核对一下吧灵星教育2019年八年级下册数学百分百训练江苏版参考答
2019新版轻巧夺冠八年级下册数学人教版9787552249293参考答案
2019-03-14 15:13:11
2019新版轻巧夺冠八年级下册数学人教版9787552249293参考答案小编已经收集整理好了,需要参考的伙伴练习完来核对一下吧2019新版轻巧夺冠八年级下册数学人教版9787552249293参