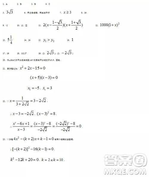
上海中学生报系列小编这次收集整理的是八年级数学的第2443期的答案,在做完之后可以来答案圈核对一下,看看自己的答案是否正确!

上海中学生报是专为上海地区学生打造的数学教辅,感兴趣的可以来看看哦,其他期和其他学科的也有,直接搜上海中学生报即可搜到!




1.听讲上课的时候千万不要打瞌睡!千万不要写作业!千万不要!你以为你懂了,事实上并不。就算真的懂了,你敢保证你的思路和老师一样?你敢保证你的书写过程十分完美?你敢保证老师讲的东西你都知道?有时候老师讲课,常常会讲到一些我们不知道的,课本上没有的,却又对我们的学习十分又帮助的东西。
2.刷题刷题分两个部分多做与精做由量变到质变
首先,你要保证每一种题型你都有涉及然后就开始刷永远不要觉得你做的题多。
当你确保每一种题型都有涉及且能够掌握,现在就开始精刷。做难点 做重点 做易考点 做易错点PS这都是根据个人与地区情况来定的。
3.总结题是做不完的。所以要有质变总结是这之中非常重要的一个步骤。永远不要说 我没时间总结 我不会总结 有这个闲工夫还不如去做几道题呢事实上 总结比你去做几道你滚瓜烂熟的题要重要得多一开始你会总结的很费时间但是慢慢就会好的任何事情都有一个过程
关于总结什么这一个类型的题目常用的方法自己容易错的地方自己当初为什么不会做或为什么做错一定要写清楚,这样以后翻看的时候更加方便。
2018上海中学生报七年级数学第2443期答案
2019-01-10 14:56:16
上海中学生报系列的教辅报纸还是很多人使用的,毕竟这个是专为中学生打造的,还是非常不错的,其他年级和学科也有,做完了可以来看看哦!2018上海中学生报七年级数学第2443期答案上海
2018上海中学生报六年级数学第2443期参考答案
2019-01-10 14:29:23
上海中学生报系列小编这次收集整理的是六年级数学的参考答案,在做完之后可以来答案圈核对一下,看看自己的答案是否正确,当然其他学科的和其他年级的也可以在答案圈内搜一下。20
2018上海中学生报七年级英语第2443期答案
2019-01-10 10:37:20
上海中学生报七年级英语第2443期的答案已经收集整理好了,做完了的可以来答案圈核对一下,其他期和其他年级的也可以在答案圈内搜上海中学生报即可搜到。2018上海中学生报七年级
2018上海中学生报八年级英语第2443期答案
2019-01-10 09:52:50
上海中学生报系列小编这次收集整理的是八年级英语第2443期的答案,在做完之后可以来答案圈核对一下,看看自己的答案是否正确。2018上海中学生报八年级英语第2443期答案八年级的