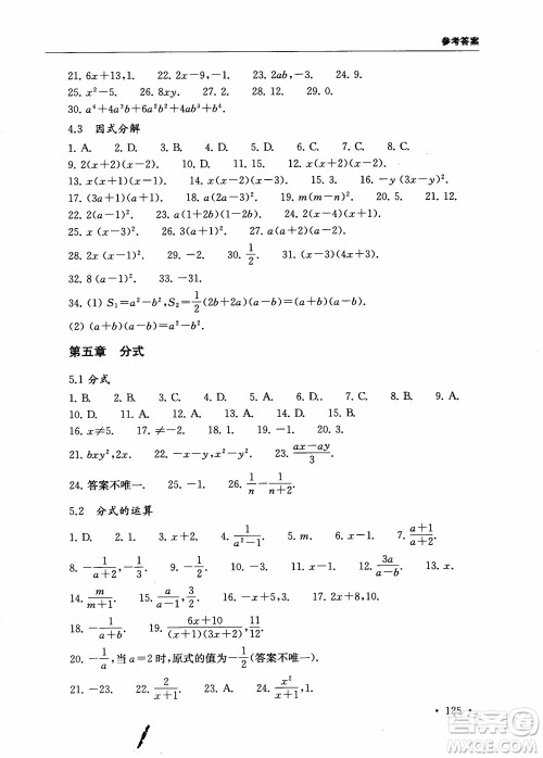
2018年第一名100分专题训练数学八年级参考答案,针对性的专题训练,感兴趣的来答案圈了解一下

ISBN编号:9787562843160出版社名称:华东理工大学出版社书名:第一名100分专题训练数学八年级,针对数学进行的专题训练,学生可以根据自己的情况哪里不会补哪里,更好的提高自己






1. 在网上搜阅读理解的答题模板,并结合老师教给的答题要领和格式,对于每一次布置的阅读理解题,都积极地运用答题模板或格式去套用着解答。之后,再对照老师给出的答案,分析自己在套用模板答题时还存在着哪些问题,然后下次答题时要注意改进。这样通过不断地练习,分析和改进。阅读理解的答题水平会提高得很快,扣分也越来越少。
2. 每天让孩子抽出时间(例如晚上1-2个小时),重点阅读中考老师一再要求的一些名著,例如水浒传,西游记,钢铁是怎样炼成的,格列佛游记,鲁滨逊漂流记,童年,等等(诸如水浒传和西游记,最好买无障碍阅读版的)。此外,还要切实的背诵教育部所规定的小学和初中的所有古诗词,以及古文名句。背完一遍,再从头开始,至少二三遍吧,最后达到会背,能默写的程度。当然还要适时地穿插着,看那些初中易读错的字词,易混淆的近义词辨析等(这些都有专门的书可以拿来用,如初中语文基础知识手册等)。
3. 如果你有认识的作文高手(朋友,亲戚,辅导班老师,或者你本人),那么请他或他们根据孩子自初一开始学校老师所布置的每一次作文题目(中考前也需要结合时事、热点多准备些额外的有可能考到的作文题目),每一篇都写出一篇好的范文来。在中考前的1-2个月,让孩子开始背。
100分系列2018现代文阅读技能突破100分八年级江苏专版参考答案
2018-10-31 10:42:19
100分系列2018现代文阅读技能突破100分八年级江苏专版参考答案,小编已经整理完成,需要的来答案圈看看100分系列2018现代文阅读技能突破100分八年级江苏专版参考答案本书由南
2018第一名100分专题训练数学七年级参考答案
2018-10-31 10:10:25
2018第一名100分专题训练数学七年级参考答案,小编已经整理完成,正在使用本书的同学可以来看看2018第一名100分专题训练数学七年级参考答案ISBN编号:9787562841784出版社名称:
2018英语自主阅读提高训练100篇修订版八年级参考答案
2018-10-31 09:43:47
2018英语自主阅读提高训练100篇修订版八年级参考答案,小编已经收集好了,希望对大家自主学习有帮助2018英语自主阅读提高训练100篇修订版八年级参考答案ISBN编号:978730512953
趣学文言2018课外文言文阅读训练100篇八年级参考答案
2018-10-31 09:00:10
趣学文言2018课外文言文阅读训练100篇八年级参考答案,小编已经收集好答案了,正在训练自己文言文的同学可以来看看趣学文言2018课外文言文阅读训练100篇八年级参考答案华东理