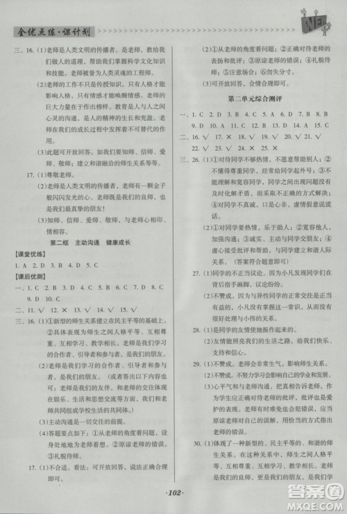
2018版全优点练课计划八年级思想品德上册人教版参考答案,小编收集在答案圈了,感兴趣的学生可以及时查看

本书是辽海出版社出版的,参考答案小编收集的是人教版最新的,答案收集的相对比较详细,学生在做完之后即可进行检查核对,看看自己的做题情况进而及时调整自己的学习计划,不断提升自己的学习成绩。










首先明白刷题的目的是什么,是通过做题,来巩固需要学到的知识。正确有效的刷题,就是先要通过做各类型的题,来判断自己哪些知识已经掌握,哪些尚有欠缺,哪些还完全不会,针对尚有欠缺的题目,进行较多的练习,直到掌握此类题型都处理方式,学会坐类似题目,对于知识点不会的,先要回去把课本再看一遍,弄明白知识点,然后再通过做题来巩固,这是刷题的第一个步骤。分类击破。第二个步骤,是需要按照考试的样子,刷综合性题目,训练自己在有限时间内做一定量题目的能力,训练每部分题型所花的时间。自己对哪部分更拿手,先做,哪些是需要暂时放弃的。第三个步骤就是总结巩固,做一本题,还是不知道哪些自己会做,哪些不会做,是起不到刷题的作用的,必须一边刷题,一边进行总结思考,才能有效的刷题。
2018版全优点练课计划八年级数学上册人教版参考答案
2018-10-22 08:29:11
2018版全优点练课计划八年级数学上册人教版参考答案,小编收集在答案圈了,感兴趣的学生可以及时了解2018版全优点练课计划八年级数学上册人教版参考答案ISBN9787545119909,是辽
2018版高中同步测控优化训练高一英语必修1人教版参考答案
2018-10-22 08:23:33
2018版高中同步测控优化训练高一英语必修1人教版参考答案,小编已经整理完成,需要的来答案圈查看2018版高中同步测控优化训练高一英语必修1人教版参考答案ISBN编号:9787501584
2018高中同步测控优化训练英语必修5人教版参考答案
2018-10-21 11:48:48
2018高中同步测控优化训练英语必修5人教版参考答案,小编已经整理完成,需要的来答案圈查看2018高中同步测控优化训练英语必修5人教版参考答案ISBN编号:9787501585014书名:2018
2018年高中同步测控优化训练语文必修2人教版参考答案
2018-10-21 10:24:54
2018年高中同步测控优化训练语文必修2人教版参考答案,小编已经整理在答案圈了,需要的随时来查询2018年高中同步测控优化训练语文必修2人教版参考答案ISBN编号:9787501584932