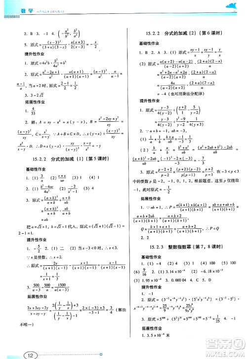
进入初中,数学这门学科需要同学们反复巩固训练,通过训练灵活运用所学知识,拓展思维能力,提升成绩,今天小编为同学们整理了广东教育出版社2024年秋南方新课堂金牌学案八年级数学上册人教版答案,本书的ISBN为9787540691882,练习完的同学可以来答案圈核对一下答案。

答案如下,仅供参考:














广东教育出版社2024年秋南方新课堂金牌学案八年级英语上册人教版答案
2024-09-19 11:08:06
英语这门学科需要同学们多记单词多做练习,通过练习训练检测知识掌握程度,运用的多自然就跟熟悉了,今天小编为同学们整理了广东教育出版社2024年秋南方新课堂金牌学案八年级英语
广东教育出版社2024年秋南方新课堂金牌学案七年级地理上册中图版答案
2024-09-19 10:41:11
七年级地理这门学科其实并不难,同学们只要上课认真听讲,课下多做练习训练,巩固好所学知识,提升成绩,今天小编为同学们整理了广东教育出版社2024年秋南方新课堂金牌学案七年级地理
广东教育出版社2024年秋南方新课堂金牌学案七年级地理上册湘教版答案
2024-09-19 10:08:26
今天小编为同学们整理了广东教育出版社2024年秋南方新课堂金牌学案七年级地理上册湘教版答案,本书详细解读配套知识点,讲解重点突出,通俗易懂,帮助同学们解决学习中的困点、难点
广东教育出版社2024年秋南方新课堂金牌学案七年级地理上册人教版答案
2024-09-19 09:22:15
地理这门学科在七年级难度还不大,同学们可以通过训练来掌握好所学的知识,全面提升这门学科的成绩,今天小编为同学们整理了广东教育出版社2024年秋南方新课堂金牌学案七年级地理