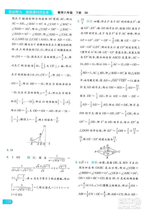
数学这门学科需要同学们多做练习,拓展不同题型,同时可以巩固所学的知识点,今天小编为同学们整理了北京教育出版社2024年春亮点给力提优课时作业本八年级数学下册苏科版答案,练习完的同学可以来答案圈核对一下答案。

答案如下,仅供参考:






































































































































北京教育出版社2024年春亮点给力提优课时作业本八年级英语下册译林版答案
2024-04-29 14:45:29
英语这门学科需要同学们多记多练,同学们可以在课下通过练习来检测知识点掌握程度,今天小编为同学们整理了北京教育出版社2024年春亮点给力提优课时作业本八年级英语下册译林版
北京教育出版社2024年春亮点给力提优课时作业本七年级语文下册人教版答案
2024-04-29 14:25:29
语文这门学科对于同学们来说很重要,同学们要重视起来,同学们可以通过练习来加强理解能力,今天小编为同学们整理了北京教育出版社2024年春亮点给力提优课时作业本七年级语文下册
北京教育出版社2024年春亮点给力提优课时作业本七年级数学下册苏科版答案
2024-04-29 13:51:48
数学这门学科在七年级难度不大,同学们可以通过实操来运用所学的知识,同时拓展题型,今天小编为同学们整理了北京教育出版社2024年春亮点给力提优课时作业本七年级数学下册苏科版
北京教育出版社2024年春亮点给力提优课时作业本七年级英语下册译林版答案
2024-04-29 13:36:31
英语这门学科在七年级难度不小,同学们在课下要多记单词,多做练习,提升成绩,今天小编为同学们整理了北京教育出版社2024年春亮点给力提优课时作业本七年级英语下册译林版答案,练习