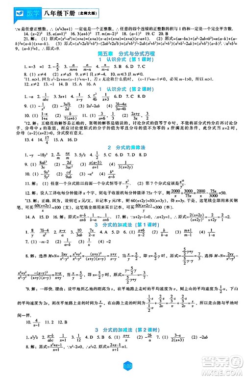
今天小编为同学们整理了辽海出版社2024年春新课程数学能力培养八年级数学下册北师大版答案,本练习帮助同学们发现并解决学习中存在的问题,便于以后查漏补缺,进行系统的学习,练习完的同学可以来答案圈核对一下答案。

答案如下,仅供参考:



















辽海出版社2024年春新课程数学能力培养七年级数学下册北师大版答案
2024-03-19 08:54:07
数学这门学科在初中难度不小,同学们要通过练习来及时掌握所学的内容,提升数学成绩,今天小编为同学们整理了辽海出版社2024年春新课程数学能力培养七年级数学下册北师大版答案,练
辽海出版社2024年春新课程数学能力培养九年级数学下册人教版答案
2024-03-18 15:09:33
进入九年级,数学这门学科的难度不小,同学们要通过训练来检测所学知识的掌握程度,提升成绩,今天小编为同学们整理了辽海出版社2024年春新课程数学能力培养九年级数学下册人教版答
辽海出版社2024年春新课程数学能力培养八年级数学下册人教版答案
2024-03-18 14:40:48
数学这门学科需要同学们有灵活的思维能力,同学们要重视起来,通过练习来回顾知识点,今天小编为同学们整理了辽海出版社2024年春新课程数学能力培养八年级数学下册人教版答案,练习
辽海出版社2024年春新课程数学能力培养七年级数学下册人教版答案
2024-03-18 14:30:13
进入七年级,数学这门学科的难度不小,同学们可以通过实操来检测知识点掌握程度,提升成绩,今天小编为同学们整理了辽海出版社2024年春新课程数学能力培养七年级数学下册人教版答案