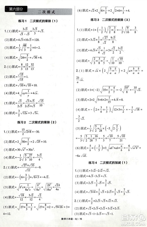
我们知道,初二年级的学习压力很大,数学科目是主课,大家务必得认真对待,尤其是计算部分,该做的练习要坚持完成。小编整理了河海大学出版社2024年春学霸计算达人八年级数学下册人教版参考答案,一起来看看吧。

答案如下:
















宁夏人民教育出版社2024年学霸计算达人八年级数学全册北师大版参考答案
2024-02-26 10:43:27
在初二年级,数学科目的学习要求不低,大家想拿到好成绩就得多做练习,课余时间要把握住。今天搜集了宁夏人民教育出版社2024年学霸计算达人八年级数学全册北师大版参考答案,感兴趣
河海大学出版社2024年春学霸计算达人八年级数学下册通用版参考答案
2024-02-26 10:30:42
在初二年级,学生们要关注数学科目的学习情况,每天下课记得做练习,努力把知识点巩固好。小编分享河海大学出版社2024年春学霸计算达人八年级数学下册通用版参考答案,感兴趣的可以
河海大学出版社2024年春学霸计算达人七年级数学下册江苏版参考答案
2024-02-26 10:16:30
对于初一年级的学生来说,数学科目的学习内容不少,大家想拿到好成绩就得勤做训练,课余时间不能浪费。今天整理了河海大学出版社2024年春学霸计算达人七年级数学下册江苏版参考答
河海大学出版社2024年春学霸计算达人七年级数学下册通用版参考答案
2024-02-26 10:03:20
今天分享河海大学出版社2024年春学霸计算达人七年级数学下册通用版参考答案,感兴趣的可以看过来。这是为初一年级学生搜集到的练习册答案,题目针对性强,希望能帮助你们提高计算