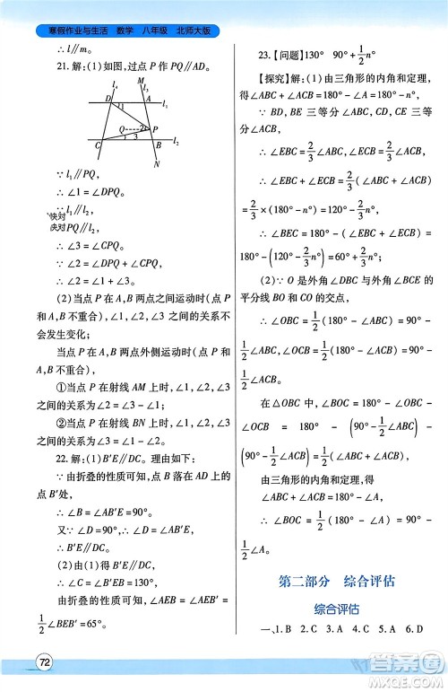
对于初二生来说,数学科目的学习难度不低,寒假要把握住机会,争取多做练习,这样才能有效提分。小编搜集了陕西师范大学出版总社有限公司2024寒假作业与生活八年级数学北师大版参考答案,赶紧看过来吧。

答案如下:















陕西师范大学出版总社有限公司2024寒假作业与生活八年级英语冀教版参考答案
2024-01-18 14:33:02
今天分享陕西师范大学出版总社有限公司2024寒假作业与生活八年级英语冀教版参考答案,内容新颖,欢迎大家积极查阅。这是为初二年级学生搜集到的寒假练习册答案,希望能帮助你们提
陕西师范大学出版总社有限公司2024寒假作业与生活八年级物理人教版参考答案
2024-01-18 14:26:21
在初二年级,学生们对寒假要做好积极的规划,争取提高自己的弱科成绩。今天分享陕西师范大学出版总社有限公司2024寒假作业与生活八年级物理人教版参考答案,内容丰富,赶紧看过来。
陕西师范大学出版总社有限公司2024寒假作业与生活八年级英语人教版参考答案
2024-01-18 14:08:25
到了初二年级,学生们的学习压力骤增,寒假时间要把握住,努力提高英语成绩。小编分享陕西师范大学出版总社有限公司2024寒假作业与生活八年级英语人教版参考答案,感兴趣的可以收藏
陕西师范大学出版总社有限公司2024寒假作业与生活七年级英语冀教版参考答案
2024-01-18 13:54:36
对于初一年级的学生来说,寒假很重要,大家要把握住机会,努力提升自己的能力。今天分享陕西师范大学出版总社有限公司2024寒假作业与生活七年级英语冀教版参考答案,一起来看看,切勿