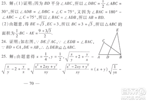
小编整理了西安出版社2022期末金卷夺冠8套八年级数学上册冀教版河北专版参考答案,感兴趣的看过来吧。这是针对八年级的数学练习册,题目应该是适合大家的,如果你想提升成绩,那么就赶紧做起来。

答案如下:






















西安出版社2022期末金卷夺冠8套八年级地理上册人教版河北专版参考答案
2022-12-26 09:33:45
进入八年级,学生们的学习内容增加了,难度也有提升。为了升学,在这一阶段务必要平衡各科的成绩。小编整理了西安出版社2022期末金卷夺冠8套八年级地理上册人教版河北专版参考答
西安出版社2022期末金卷夺冠8套八年级地理上册湘教版河北专版参考答案
2022-12-26 09:01:44
今天分享西安出版社2022期末金卷夺冠8套八年级地理上册湘教版河北专版参考答案,感兴趣的可以看过来哟。这是为八年级学生提供的地理练习册,为的就是帮助大家提升地理成绩。如
西安出版社2022期末金卷夺冠8套七年级地理上册人教版河北专版参考答案
2022-12-26 08:51:57
今天分享西安出版社2022期末金卷夺冠8套七年级地理上册人教版河北专版参考答案,希望能帮助到大家。12月底了,学生们马上就要进行期末考试,为了能回家过个好年,大家要把握时间,多
西安出版社2022期末金卷夺冠8套七年级地理上册湘教版河北专版参考答案
2022-12-26 08:32:30
小编整理了西安出版社2022期末金卷夺冠8套七年级地理上册湘教版河北专版参考答案,欢迎大家积极查阅。这是针对七年级学生的练习册答案,如果你正在做它,那么答案可以简单参考一