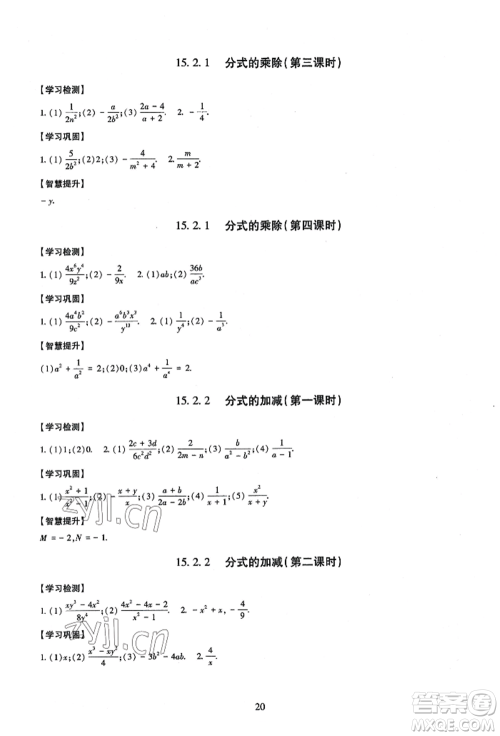
明天出版社2022智慧学习导学练八年级上册数学人教版参考答案小编已经为大家收集整理好了,本书是明天出版社出版设计,有对本书感兴趣的小伙伴,可以到答案圈看看哦!

答案如下:
























明天出版社2022智慧学习导学练八年级上册英语人教版参考答案
2022-11-17 13:57:18
明天出版社2022智慧学习导学练八年级上册英语人教版参考答案小编已经为大家收集整理好了,本书是明天出版社出版设计,有兴趣的同学,可以试着做做看哦!明天出版社2022智慧学习导学
明天出版社2022智慧学习导学练七年级上册道德与法治人教版参考答案
2022-11-17 13:48:08
明天出版社2022智慧学习导学练七年级上册道德与法治人教版参考答案小编已经为大家收集整理好了,本书是明天出版社出版设计,本书不仅设有全面系统的课时作业,还配有各章自主检测
明天出版社2022智慧学习导学练七年级上册中国历史人教版参考答案
2022-11-17 13:25:50
明天出版社2022智慧学习导学练七年级上册中国历史人教版参考答案小编已经为大家收集整理好了,本书是明天出版社出版设计,本书主要针对七年级基础薄弱的学生所设计,大幅度提高学
明天出版社2022智慧学习导学练七年级上册生物学人教版参考答案
2022-11-17 11:29:03
明天出版社2022智慧学习导学练七年级上册生物学人教版参考答案小编已经为大家收集整理好了,本书是明天出版社出版设计,本书便于学生形成系统化的知识体系,及迅速提高自己的应考