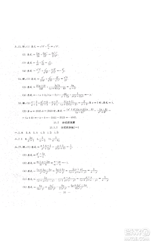
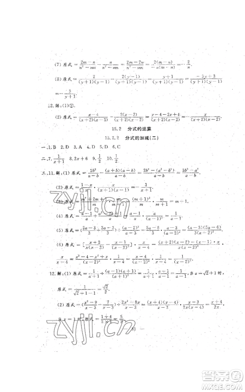
吉林教育出版社2022文曲星跟踪测试卷八年级上册数学人教版参考答案小编已经为大家收集整理好了,本书是吉林教育出版社出版设计,本书倡导同步提优的理念,与相应版本教材完全配套,与教学课时基本同步,有兴趣的同学,可以到答案圈看看哦!

答案如下:








































吉林教育出版社2022文曲星跟踪测试卷七年级上册地理人教版参考答案
2022-11-03 10:12:57
吉林教育出版社2022文曲星跟踪测试卷七年级上册地理人教版参考答案小编已经为大家收集整理好了,本书是吉林教育出版社出版设计,本书帮助同学们及时巩固所学知识,及时发现并解决
吉林教育出版社2022文曲星跟踪测试卷七年级上册生物人教版参考答案
2022-11-03 10:00:12
吉林教育出版社2022文曲星跟踪测试卷七年级上册生物人教版参考答案小编已经为大家收集整理好了,本书是吉林教育出版社出版设计,本书不仅设有全面系统的课时作业,还配有各章自主
吉林教育出版社2022文曲星跟踪测试卷七年级上册英语人教版参考答案
2022-11-03 09:43:05
吉林教育出版社2022文曲星跟踪测试卷七年级上册英语人教版参考答案小编已经为大家收集整理好了,本书是吉林教育出版社出版设计,这本文曲星跟踪测试卷根据初中生的特点,帮助学生
吉林教育出版社2022文曲星跟踪测试卷七年级上册道德与法治历史人教版参考答案
2022-11-03 09:32:07
吉林教育出版社2022文曲星跟踪测试卷七年级上册道德与法治历史人教版参考答案小编已经为大家收集整理好了,本书是吉林教育出版社出版设计,有对本书感兴趣的同学,可以到答案圈查