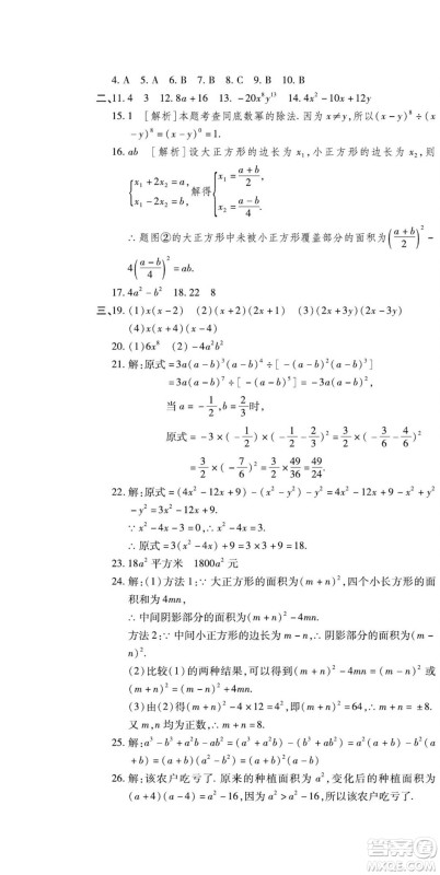
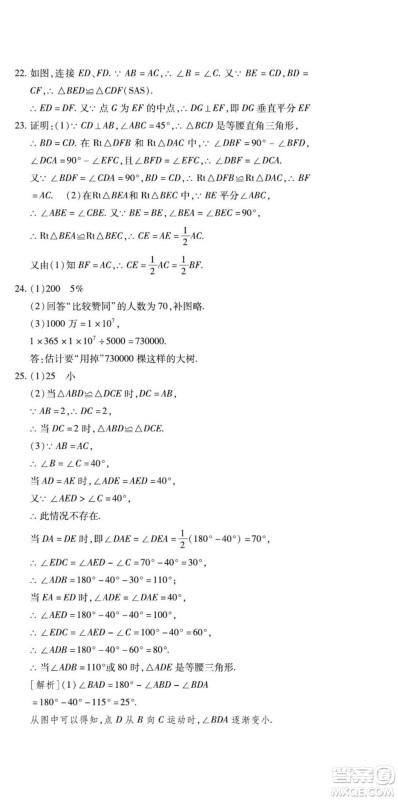
河北大学出版社2022黄冈全优AB卷数学八年级上册华师版答案小编已经收集整理好了,针对新学期的学习提高,正在使用本练习册的伙伴做完作业可以来答案圈核对答案哦!

本书系列的其他年级和科目的答案小编也有收集整理,需要的伙伴可以在答案圈对应的年级搜索查看!






























河北大学出版社2022黄冈全优AB卷数学八年级上册北师版答案
2022-08-05 10:19:38
河北大学出版社2022黄冈全优AB卷数学八年级上册北师版答案小编已经收集整理好了,针对新学期的学习提高,正在使用本练习册的伙伴做完作业可以来答案圈核对答案哦!河北大学出版社
河北大学出版社2022黄冈全优AB卷生物八年级上册人教版答案
2022-08-05 10:08:47
河北大学出版社2022黄冈全优AB卷生物八年级上册人教版答案小编已经收集整理好了,针对新学期的学习提高,正在使用本练习册的伙伴做完作业可以来答案圈核对答案哦!河北大学出版社
河北大学出版社2022黄冈全优AB卷生物八年级上册济南版答案
2022-08-05 09:56:10
河北大学出版社2022黄冈全优AB卷生物八年级上册济南版答案小编已经收集整理好了,针对新学期的学习提高,正在使用本练习册的伙伴做完作业可以来答案圈核对答案哦!河北大学出版社
河北大学出版社2022黄冈全优AB卷历史八年级上册人教版答案
2022-08-05 09:42:54
河北大学出版社2022黄冈全优AB卷历史八年级上册人教版答案小编已经收集整理好了,针对新学期的学习提高,正在使用本练习册的伙伴做完作业可以来答案圈核对答案哦!河北大学出版社