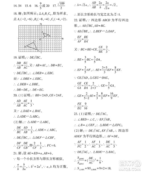
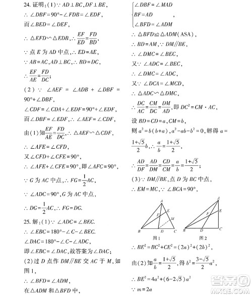
黑龙江少年儿童出版社2022Happy假日暑假八年级数学通用版答案小编已经收集整理好了,针对学生暑假学习和新学期衔接,让学生在假期复习上一学期知识点的同时预习下学期学习内容,帮助学生更好更快的融入新学期的学习中,练习完的伙伴可以来答案圈核对一下答案!

本书系列的其他年级和科目小编也有整理收集,需要核对答案的伙伴可以来答案圈对应的年级搜索查看!


























黑龙江少年儿童出版社2022Happy假日暑假八年级语文通用版答案
2022-07-16 09:28:57
黑龙江少年儿童出版社2022Happy假日暑假八年级语文通用版答案小编已经收集整理好了,针对学生暑假学习和新学期衔接,让学生在假期复习上一学期知识点的同时预习下学期学习内容,
黑龙江少年儿童出版社2022Happy假日暑假七年级综合通用版答案
2022-07-16 09:11:29
黑龙江少年儿童出版社2022Happy假日暑假七年级综合通用版答案小编已经收集整理好了,针对学生暑假学习和新学期衔接,让学生在假期复习上一学期知识点的同时预习下学期学习内容,
黑龙江少年儿童出版社2022Happy假日暑假七年级英语通用版答案
2022-07-16 09:00:56
黑龙江少年儿童出版社2022Happy假日暑假七年级英语通用版答案小编已经收集整理好了,针对学生暑假学习和新学期衔接,让学生在假期复习上一学期知识点的同时预习下学期学习内容,
黑龙江少年儿童出版社2022Happy假日暑假八年级英语林甸专用答案
2022-07-15 18:01:33
黑龙江少年儿童出版社2022Happy假日暑假八年级英语林甸专用答案小编已经收集整理好了,针对学生暑假学习和新学期衔接,让学生在假期复习上一学期知识点的同时预习下学期学习内