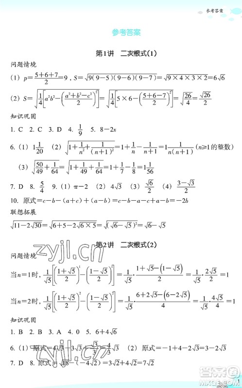
浙江教育出版社2022快乐暑假玩转假期活动手册八年级数学通用版答案小编为同学们整理好了,本书由浙江教育出版社出版发行,把八九年级的知识结合起来,习题具有较强的代表性,都是教材对应知识点的延伸与拓展,拓宽思路,提高灵活运用知识的能力,需要核对答案的同学可以来看看哦!

本书系列的其他科目的答案小编也有整理,大家可以在答案圈搜索查看。














浙江教育出版社2022快乐暑假玩转假期活动手册八年级语文通用版答案
2022-07-04 17:27:49
浙江教育出版社2022快乐暑假玩转假期活动手册八年级语文通用版答案小编为同学们整理好了,本书由浙江教育出版社出版发行,把八九年级的知识结合起来,对上一学期所学知识进行系统
浙江教育出版社2022快乐暑假玩转假期活动手册七年级科学通用版答案
2022-07-04 17:13:37
浙江教育出版社2022快乐暑假玩转假期活动手册七年级科学通用版答案小编为同学们整理好了,本书由浙江教育出版社出版发行,把七八年级的知识结合起来,复习教材中的基础知识,梳理知
浙江教育出版社2022快乐暑假玩转假期活动手册七年级历史与社会道德与法治通用版答案
2022-07-04 16:59:11
浙江教育出版社2022快乐暑假玩转假期活动手册七年级历史与社会道德与法治通用版答案小编整理好了,本书由浙江教育出版社出版发行,把七八年级的知识结合起来,帮助学生在假期熟悉
浙江教育出版社2022快乐暑假玩转假期活动手册七年级英语通用版答案
2022-07-04 16:43:31
浙江教育出版社2022快乐暑假玩转假期活动手册七年级英语通用版答案小编为同学们整理好了,本书由浙江教育出版社出版发行,把七八年级的知识结合起来,一日一练,科学安排每天的训练