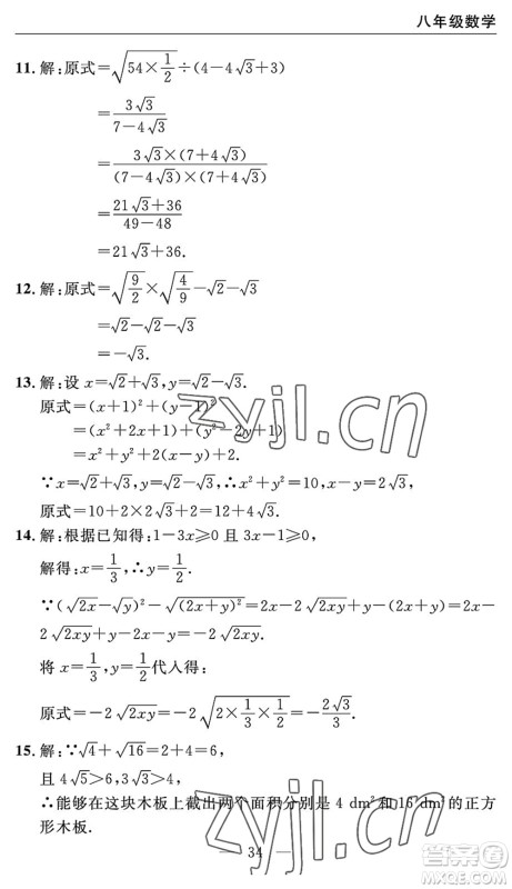
长江少年儿童出版社2022智慧课堂自主评价八年级数学下册通用版宜昌专版答案小编为同学们整理好了,本书是由长江少年儿童出版社发行,兰杉主编,借助教材例题及创编例题将教材知识点进行全面细致解读,突出逻辑性、规律性、技巧性,同学们做完题目可以来答案圈核对一下,效率更高哦!

参考答案下图所示,请同学们仔细核对






























































长江少年儿童出版社2022智慧课堂自主评价八年级物理下册通用版宜昌专版答案
2022-06-07 08:16:37
长江少年儿童出版社2022智慧课堂自主评价八年级物理下册通用版宜昌专版答案小编为同学们整理好了,本书是由长江少年儿童出版社发行,兰杉主编,重视基础巩固,着力综合运用,帮助学生
长江少年儿童出版社2022智慧课堂自主评价八年级生物下册通用版答案
2022-06-07 08:07:40
长江少年儿童出版社2022智慧课堂自主评价八年级生物下册通用版答案小编为同学们整理好了,本书是由长江少年儿童出版社发行,兰杉主编,按新课程标准的要求,分考点梳理知识,并对重点
长江少年儿童出版社2022智慧课堂自主评价八年级道德与法治下册通用版答案
2022-06-07 07:56:08
长江少年儿童出版社2022智慧课堂自主评价八年级道德与法治下册通用版答案小编为同学们整理好了,本书是由长江少年儿童出版社发行,兰杉主编,书中对例题解读从重难点、解题方法、
长江少年儿童出版社2022智慧课堂自主评价八年级地理下册通用版答案
2022-06-06 17:43:07
长江少年儿童出版社2022智慧课堂自主评价八年级地理下册通用版答案小编为同学们整理好了,本书是由长江少年儿童出版社发行,兰杉主编,采用新课标新理念,巩固基础知识,加深记忆,专项
智慧课堂自主评价系列答案