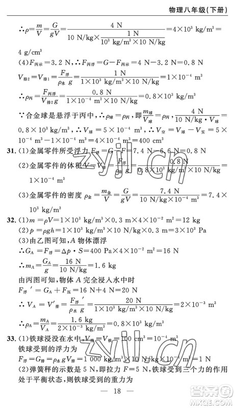
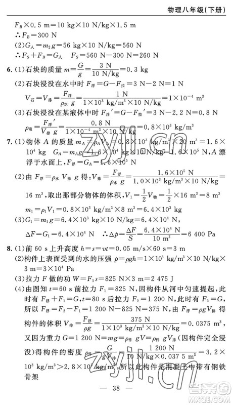
长江少年儿童出版社2022智慧课堂自主评价八年级物理下册通用版答案小编为同学们整理好了,本书是由长江少年儿童出版社发行,兰杉主编,从知识的方法点、综合点、拓展点进行典例解读,精炼考点内涵,系统设计高效训练,提升考试能力,做完作业的小伙伴们快来答案圈看看自己做的怎么样吧!

智慧课堂自主评价系列其他科目的参考答案小编也有整理,大家可以在答案圈搜索查看。














































长江少年儿童出版社2022智慧课堂自主评价八年级数学下册通用版答案
2022-06-06 16:12:45
长江少年儿童出版社2022智慧课堂自主评价八年级数学下册通用版答案小编为同学们整理好了,本书是由长江少年儿童出版社发行,兰杉主编,遵循新课标对每个学段的目标要求,全面整合教
长江少年儿童出版社2022智慧课堂自主评价八年级语文下册通用版答案
2022-06-06 15:58:39
长江少年儿童出版社2022智慧课堂自主评价八年级语文下册通用版答案小编为同学们整理好了,本书是由长江少年儿童出版社发行,兰杉主编,对知识点进行了全方面的剖析练习,其编排则体
长江少年儿童出版社2022智慧课堂自主评价七年级英语下册通用版宜昌专版答案
2022-06-06 15:44:52
长江少年儿童出版社2022智慧课堂自主评价七年级英语下册通用版宜昌专版答案小编为同学们整理好了,本书是由长江少年儿童出版社发行,兰杉主编,精选典型好题,提醒易混易错,总结解题
长江少年儿童出版社2022智慧课堂自主评价七年级数学下册通用版宜昌专版答案
2022-06-06 15:29:01
长江少年儿童出版社2022智慧课堂自主评价七年级数学下册通用版宜昌专版答案小编为同学们整理好了,本书是由长江少年儿童出版社发行,兰杉主编,知识点更细,边学边练,同步课时练习、
智慧课堂自主评价系列答案