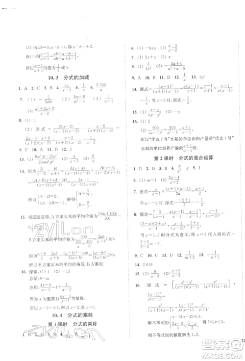
延边大学出版社2022学霸作业本八年级下册数学苏科版参考答案小编已经为大家收集整理好了,本书是延边大学出版社出版设计,本书按照教材顺序,结合考纲要求,采用逐级提升的学习讲解策略,适合学生的自学、课后训练和预习等,有兴趣的同学,可以到答案圈看看哦!

答案如下:
































延边大学出版社2022学霸作业本八年级下册英语译林版参考答案
2022-06-06 15:47:36
延边大学出版社2022学霸作业本八年级下册英语译林版参考答案小编已经为大家收集整理好了,本书是延边大学出版社出版设计,本书便于学生形成系统化的知识体系,及迅速提高自己的应
沈阳出版社2022南通小题课时作业本八年级下册数学苏科版参考答案
2022-05-18 10:18:32
沈阳出版社2022南通小题课时作业本八年级下册数学苏科版参考答案已经为大家收集整理好了,本书是沈阳出版社出版设计,本书针对初中阶段的物理对学生进行课外辅导,结合教材针对各
延边大学出版社2022学霸作业本九年级下册数学苏科版参考答案
2022-05-11 16:13:47
延边大学出版社2022学霸作业本九年级下册数学苏科版参考答案小编已经为大家收集整理好了,本书是延边大学出版社出版设计,它帮助学生在课后能更好的巩固课堂上所学知识点,全面提
延边大学出版社2022学霸作业本七年级下册数学苏科版参考答案
2022-05-11 15:49:44
延边大学出版社2022学霸作业本七年级下册数学苏科版参考答案小编已经为大家收集整理好了,本书是延边大学出版社出版设计,本书根据初中生的特点,帮助学生克服学习过程中的恶习,养