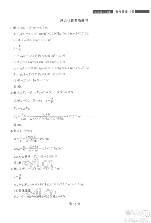
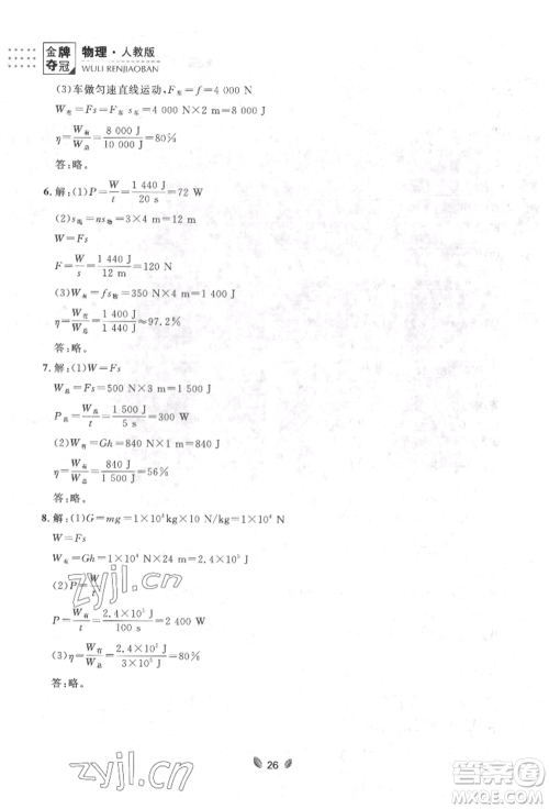
延边大学出版社2022点石成金金牌夺冠八年级下册物理人教版大连专版参考答案小编已经为大家收集整理好了,本书是延边大学出版社出版设计,这本书针对教材的每一课时所学内容进行巩固,涵盖每学期的课时练习,单元练习卷和期中期末测试卷,难度上适当兼顾优等生,给优等生以思维上的拓展,大家可以到答案圈查阅哦!

答案如下:






















































延边大学出版社2022点石成金金牌夺冠七年级下册语文人教版参考答案
2022-04-22 08:57:51
延边大学出版社2022点石成金金牌夺冠七年级下册语文人教版参考答案小编已经为大家收集整理好了,本书是延边大学出版社出版设计,喜欢本书的小伙伴,可以到答案圈查阅参考哦!延边大
延边大学出版社2022点石成金金牌夺冠七年级下册英语外研版参考答案
2022-04-22 08:44:24
延边大学出版社2022点石成金金牌夺冠七年级下册英语外研版参考答案小编已经为大家收集整理好了,本书是延边大学出版社出版设计,本书主要针对七年级英语基础薄弱的学生所设计,大