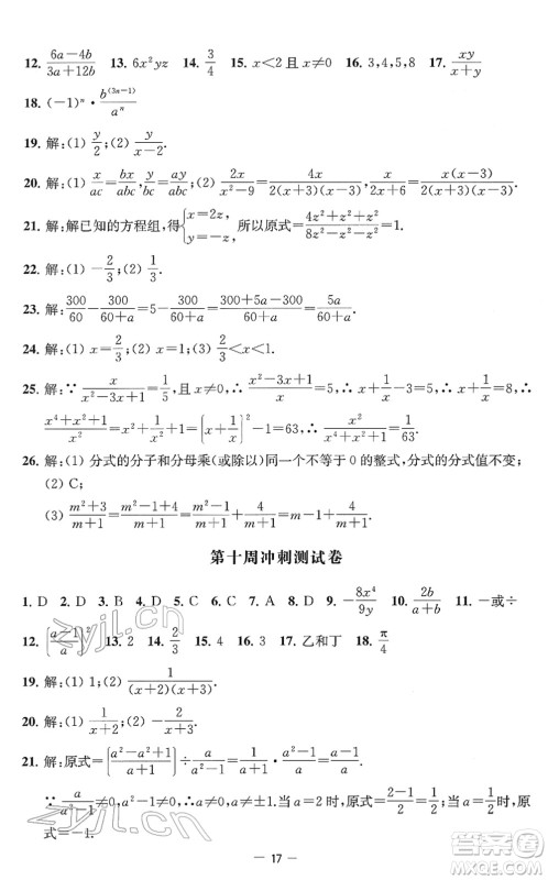
江苏人民出版社2022名校起航全能检测卷八年级数学下册苏科版答案小编为同学们整理好了,本书是由江苏人民出版社出版发行,基于课本知识,把知识点融合到题目中详析详解,多种题型结合,对学生提升成绩有很大帮助,做完可以来答案圈核对一下,效率更高哦!

答案如下,仅供参考。答案圈也有整理其他的参考资料,有需要的同学可以搜索查看。
































江苏人民出版社2022名校起航全能检测卷八年级语文下册人教版答案
2022-04-07 13:43:20
江苏人民出版社2022名校起航全能检测卷八年级语文下册人教版答案小编为同学们整理好了,本书是由江苏人民出版社出版发行,专题考点与教材同步,边学边练,夯实基础,融会贯通,系统化学
江苏人民出版社2022名校起航全能检测卷七年级英语下册译林版答案
2022-04-07 13:29:11
江苏人民出版社2022名校起航全能检测卷七年级英语下册译林版答案小编为同学们整理好了,本书是由江苏人民出版社出版发行,立足教材,贴近课堂,遵循由易到难的原则,精心设计基础巩固
江苏人民出版社2022名校起航全能检测卷七年级数学下册苏科版答案
2022-04-07 11:45:49
江苏人民出版社2022名校起航全能检测卷七年级数学下册苏科版答案小编为同学们整理好了,本书是由江苏人民出版社出版发行,对问题讲解得明白透彻,一题多问,一题多解,培养学生的发散
江苏人民出版社2022名校起航全能检测卷七年级语文下册人教版答案
2022-04-07 11:30:31
江苏人民出版社2022名校起航全能检测卷七年级语文下册人教版答案小编为同学们整理好了,本书是由江苏人民出版社出版发行,编写内容丰富,信息充足,知识点覆盖面全,有针对性的重难点
全能检测卷系列答案