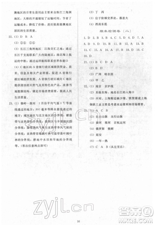
人民教育出版社2022同步轻松练习地理八年级下册人教版答案小编已经收集整理好了,让大家能更好的检验自己学习中的不足,在接下来的复习中重点去巩固提高,需要的伙伴可以来答案圈核对答案!

本次考试的其他科目的答案小编也有收集整理,大家可以根据自己使用的练习册在答案圈对应的年级搜索查看!















人民教育出版社2022同步轻松练习中国历史八年级下册人教版答案
2022-03-29 08:54:05
人民教育出版社2022同步轻松练习中国历史八年级下册人教版答案小编已经收集整理好了,让大家能更好的检验自己学习中的不足,在接下来的复习中重点去巩固提高,需要的伙伴可以来答
人民教育出版社2022同步轻松练习数学八年级下册人教版答案
2022-03-29 08:40:04
人民教育出版社2022同步轻松练习数学八年级下册人教版答案小编已经收集整理好了,让大家能更好的检验自己学习中的不足,在接下来的复习中重点去巩固提高,需要的伙伴可以来答案圈
人民教育出版社2022同步轻松练习英语八年级下册人教版答案
2022-03-29 08:32:58
人民教育出版社2022同步轻松练习英语八年级下册人教版答案小编已经收集整理好了,让大家能更好的检验自己学习中的不足,在接下来的复习中重点去巩固提高,需要的伙伴可以来答案圈
人民教育出版社2022同步轻松练习道德与法治八年级下册人教版答案
2022-03-29 08:26:13
人民教育出版社2022同步轻松练习道德与法治八年级下册人教版答案小编已经收集整理好了,让大家能更好的检验自己学习中的不足,在接下来的复习中重点去巩固提高,需要的伙伴可以来
2022初中同步轻松练习下册系列答案