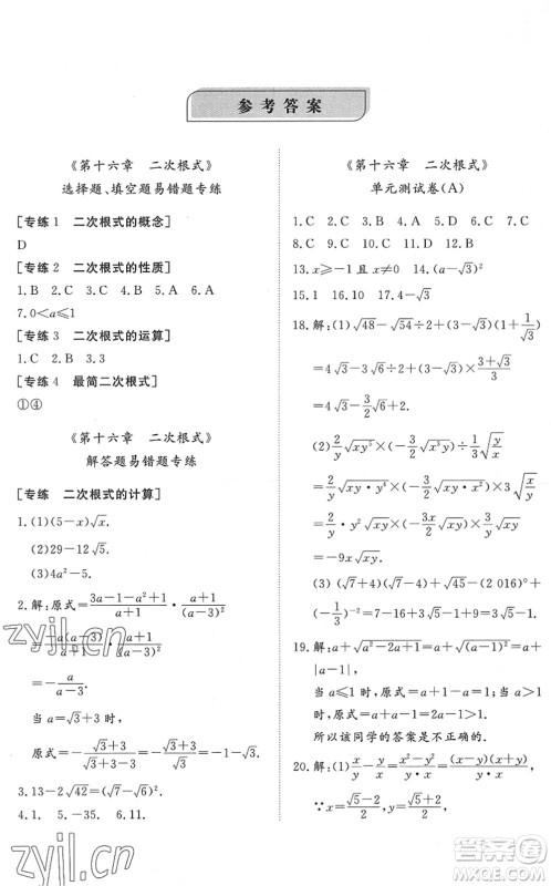
山东友谊出版社2022初中同步练习册提优测试卷八年级数学下册人教版答案小编为同学们整理好了,本书由山东友谊出版社出版发行,从重难点、解题方法、易错点、易混点、提升点、拓展点进行详析详解,对学生提升成绩有很大帮助,需要核对答案的同学可以来看看哦!

答案如下,仅供参考。答案圈也有整理其他的参考资料,有需要的同学可以搜索查看。
































山东友谊出版社2022初中同步练习册提优测试卷七年级道德与法治下册人教版答案
2022-03-17 13:28:30
山东友谊出版社2022初中同步练习册提优测试卷七年级道德与法治下册人教版答案小编为同学们整理好了,本书由山东友谊出版社出版发行,把教材中的重点、难点分布到不同的题型当中
山东友谊出版社2022初中同步练习册提优测试卷七年级历史下册人教版答案
2022-03-17 11:43:28
山东友谊出版社2022初中同步练习册提优测试卷七年级历史下册人教版答案小编为同学们整理好了,本书由山东友谊出版社出版发行,帮助学生在课余时间熟悉并掌握知识点,边学边练,夯实
山东友谊出版社2022初中同步练习册提优测试卷七年级生物下册人教版答案
2022-03-17 11:28:28
山东友谊出版社2022初中同步练习册提优测试卷七年级生物下册人教版答案小编为同学们整理好了,本书由山东友谊出版社出版发行,复习基础知识,加深记忆,专项知识点强化训练,综合总复
山东友谊出版社2022初中同步练习册提优测试卷七年级地理下册人教版答案
2022-03-17 11:13:45
山东友谊出版社2022初中同步练习册提优测试卷七年级地理下册人教版答案小编为同学们整理好了,本书由山东友谊出版社出版发行,围绕教材上的知识点进行科学分类整合的专项测试,题
同步练习册提优测试卷系列答案