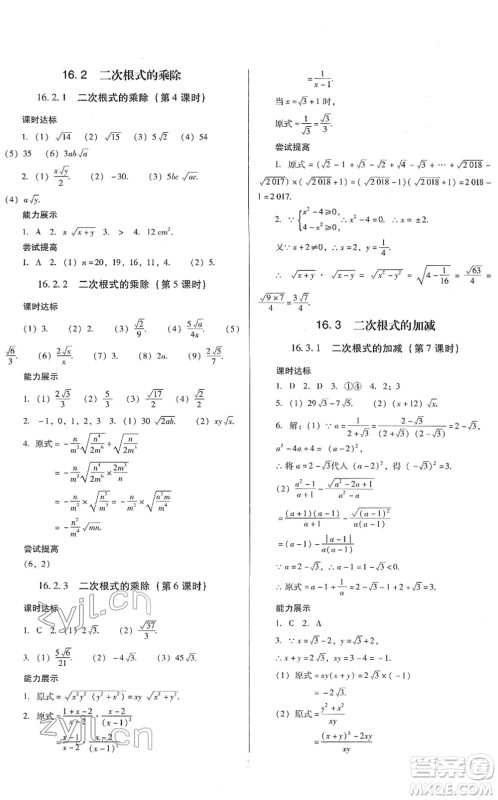
广东教育出版社2022南方新课堂金牌学案八年级数学下册人教版答案小编为同学们整理好了,本书是由广东教育出版社出版发行,搭配人教版教材使用,考察学生对当日所学知识的掌握程度和综合运用能力,题目编排合理,注重基础,梯度恰当,需要核对答案的同学可以来看看哦!

答案如下,仅供参考。答案圈也有整理其他的参考资料,有需要的同学可以搜索查看。
















广东教育出版社2022南方新课堂金牌学案八年级生物下册人教版答案
2022-03-09 14:00:32
广东教育出版社2022南方新课堂金牌学案八年级生物下册人教版答案小编为同学们整理好了,本书是由广东教育出版社出版发行,搭配人教版教材使用,针对教材内容对应出题,全面考察教材
广东教育出版社2022南方新课堂金牌学案八年级物理下册人教版答案
2022-03-09 13:44:21
广东教育出版社2022南方新课堂金牌学案八年级物理下册人教版答案小编为同学们整理好了,本书是由广东教育出版社出版发行,搭配人教版教材使用,通过这些针对性强的反复练习,帮助学
广东教育出版社2022南方新课堂金牌学案八年级地理下册湘教版答案
2022-03-09 13:29:00
广东教育出版社2022南方新课堂金牌学案八年级地理下册湘教版答案小编为同学们整理好了,本书是由广东教育出版社出版发行,搭配湘教版教材使用,对问题讲解得透,一题多问,一题多解,培
广东教育出版社2022南方新课堂金牌学案八年级历史下册人教版答案
2022-03-09 11:43:48
广东教育出版社2022南方新课堂金牌学案八年级历史下册人教版答案小编为同学们整理好了,本书是由广东教育出版社出版发行,搭配人教版教材使用,紧随教材知识点,同步巩固,专题训练,随